Single-Cell CUT&Tag Kits
Choose your kit
Product | Catalogue # | Platform | Size | List Price | Link |
---|---|---|---|---|---|
Droplet scCUT&Tag | SCT8101 | 10X Chromium | 8 Reactions | $1980 | Order |
Emulsion scCUT&Tag | ECT4101 | Fluent PiP | 4 Reactions | $2980 | Order |
scCUT&Tag2K | SC2K8101 | Fluent PiP | 4 Reactions | <$1200 | Pre-Order |
ℹ️ Need help choosing? Compare our kits
Safety Data Sheets (SDS)
The following Safety Data Sheets apply to these products:Droplet scCUT&Tag + Emulsion scCUT&Tag
- CR1007 Epigenome Technologies Quench Buffer
- CR1001 Epigenome Technologies Incubation Buffer
- CR1006 Epigenome Technologies Activator
- CF1003 Epigenome Technologies Permeabilizer
- CF1005 Epigenome Technologies Stabilizer Buffer
- CF1004 Epigenome Technologies RNAse Inhibitor
- CF1008 Epigenome Technologies Prepared TAG Enzyme
Emulsion scCUT&Tag
- CF1011 Epigenome Technologies Emulsion Polymerase a
- CF1012 Epigenome Technologies Emulsion Ligase
- CF1013 Epigenome Technologies Emulstion ATP
- CF1014 Epigenome Technologies Master Mix
- CF1015 Epigenome Technologies Emulsion Pre-Amp Primers
- CF1016 Epigenome Technologies Emulsion Library Primers Set A
- CF1017 Epigenome Technologies Emulstion Library Primers Set B
Request Protocols
Register with us for access!.
Single-Cell CUT&Tag in a Nutshell
Single-Cell CUT&Tag is an innovative assay that precisely measures epigenetic modifications in individual cells by targeting histone post-translational modifications (PTMs) or transcription factors (TFs). Unlike multiomic approaches that capture RNA, Single-Cell CUT&Tag focuses solely on tagmented DNA, allowing for deeper coverage of epigenetic marks without the complexity of concurrent transcriptomic profiling. This method is especially suited for studies in which RNA is either degraded (e.g., FFPE samples) or not required, including cell differentiation assays or drug-treatment experiments in cell lines. By integrating seamlessly with single-cell barcoding platforms — such as 10x Chromium® (ATAC) or Fluent PiP-seq® — Single-Cell CUT&Tag provides a high-resolution snapshot of gene regulatory states in each cell, driving new insights into how epigenetic changes shape biological responses.
What You Need to Get Started
- Antibody: Validated primary antibody for target of interest
- Single-Cell Platform: 10x Genomics Chromium (ATAC) or Fluent PiP-seq system
- Reagents: 10x Genomics or Fluent Bio reagents for cell processing
- Sequencing: Illumina-compatible sequencing system
Key Advantages of scCUT&Tag

- ✅ Platform Compatibility: Utilize 10X Chromium or Fluent PiP-seq
- ✅ Flexible Profiling: Targets histone PTMs, TFs, or remodelers
- ✅ High Sensitivity & Resolution: Single-cell resolution without sorting
- ✅ Streamlined Workflow: Pre-optimized for leading single-cell systems
Single-Cell CUT&Tag Performance

- Recovery: 10,000+ cells per reaction
- UMI counts: 5000+ for broad marks, 1000+ for narrow marks
- Compatibility: fresh, frozen, and cryopreserved samples
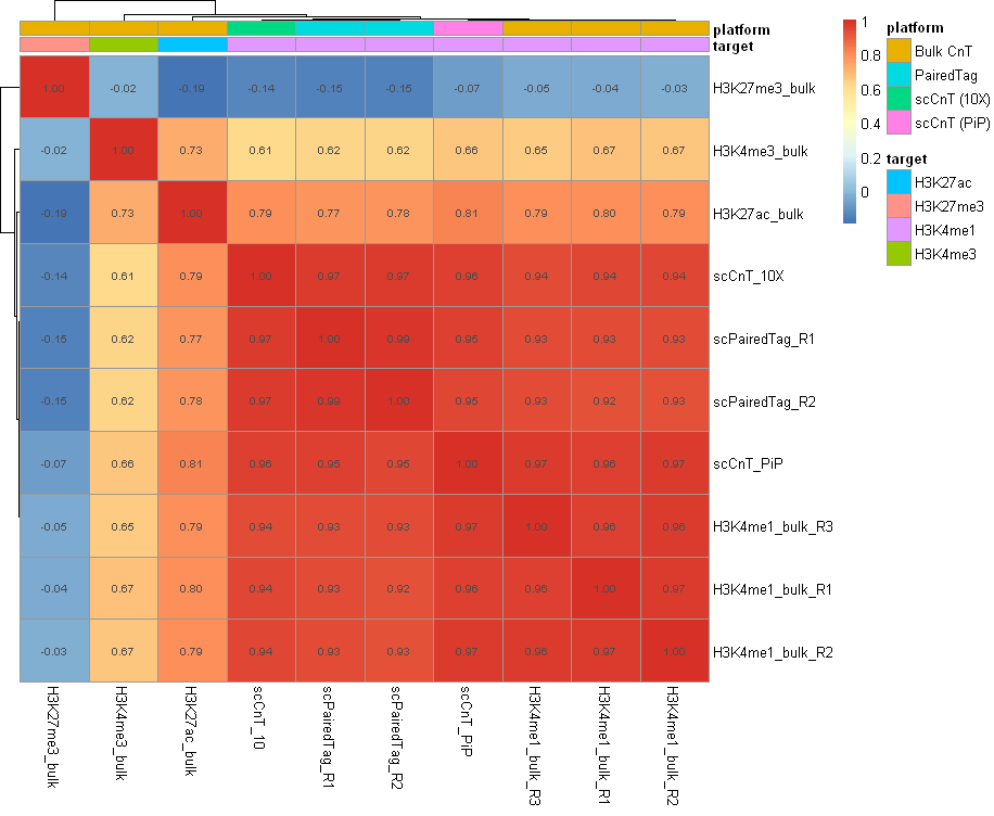
- Accuracy: Highly Correlated (>98%) with matched bulk CUT&Tag
Key Metrics
Get Started
Ready to Explore Epigenetics at Single-Cell Resolution? Single-Cell CUT&Tag Kits deliver everything you need to map histone marks or TF binding sites without the complexity of RNA profiling. Whether you’re studying cell fate decisions, drug-response assays, or archived tissues with compromised RNA, our two kit options provide flexibility:
- 📦 Order Now: Select your preferred kit from the table above.
- 📖 Read the Protocol: Download Protocol
- 💡 Need Help? Contact Support
- 🚀 Accelerate your research with Single-Cell CUT&Tag!

Droplet scCUT&Tag: 8 Reaction Kit. Designed for the 10x Chromium® ATAC system, this kit is perfect for mid-scale projects and established single-cell ATAC workflows. It supports eight reactions—sufficient for up to 80,000 cells—and focuses on DNA coverage to provide a deep view of epigenetic regulation.

Emulson scCUT&Tag: 8 Reaction Kit. Developed for Fluent PiP-seq®, this kit offers cost-effective, high-throughput single-cell DNA profiling for labs that require larger cell numbers or need an alternative single-cell platform. It’s particularly suited for experiments involving RNA-degraded samples or complex tissues.

scCUT&Tag2K: 8-16 Reaction Kits. Efficiently streamlined for low-input, pilot, or small-scale experiments, scCUT&Tag2K not only is the most affordable single-cell epigenetic assay on the market, it also requires no special equipment or setup. Combined with the Fluent PiP-seq® system, the total experimental cost (handling, library prep, and sequencing) comes in at just under $1000.
Single-Cell CUT&Tag Services
If you’re new to targeted single-cell epigenetics, we also provide Single-Cell CUT&Tag as a Service — simply send us your samples, and our team will handle everything from assay setup to data delivery. Contact us today to discover how Single-Cell CUT&Tag can shed light on the dynamic chromatin landscapes underlying your research questions.