EZH2 Inhibition Improves MSC Therapy

Does an Epigenetic Mechanism Provide a Novel Means of Improving Mesenchymal Stem Cell-based Therapies? A new study describes the epigenetic consequences of long-term in vitro culture of mesenchymal stem cells and how EZH2 inhibition can improve their therapeutic relevance.

The Problem with Therapeutically Applying MSCs: Is there an Epigenetic Solution?

Beeswarm plots of surface markers in EZH2-treated cell lines
Beeswarm plots demonstrating that EZH2 inhibition retains intensity of stem cell markers which are typically lost during culturing on a stiff surface. Indeed for CD73 and CD105, epigenetic intervention improves stem marker expression moreso than culturing on a soft substrate. From figures 1-2 of Monroe et al.

The well-known multipotency, immunomodulatory/anti-inflammatory potential, and trophic properties of mesenchymal stem cells (MSCs) (Hian et al. and Margiana et al.) have led to their evaluation as a treatment for a wide range of conditions (Han et al.); however, their clinical efficacy remains somewhat inconsistent. This problem may arise due to phenotypic alterations – reduced stemness/multipotency and an altered secretome - occurring when in-vitro expanding MSCs over several passages under sub-optimized conditions to reach the clinically-relevant number of cells required for each intervention.

While MSCs reside in the “soft” environment of the bone marrow in vivo, MSC expansion typically occurs on conventional “stiff” tissue culture plastic; as such, MSCs can sense the stiffer nature of such in-vitro culture substrates via mechanotransduction pathways, which can prompt alterations to the epigenetic regulatory machinery that controls gene expression profiles and, as such, cell function. While somewhat poorly defined, previous studies have implicated histone acetylation (Killaars et al.) and permissive and repressive histone methylation (Heo et al.) in this pathway. While producing softer, in-vivo-like culture substrates that maintain the stemness and overall functionality of MSCs remains somewhat infeasible due to the projected high costs, dampening the epigenetic responses of MSCs to stiff culture substrates during in-vitro expansion may represent a more feasible option.

As described in a new bioRxiv preprint, researchers led by Soham Ghosh (Colorado State University) set out to identify epigenetic alterations in human MSCs undergoing serial passaging on stiff and soft culture substrates in the hope of identifying a potentially targetable epigenetic mechanism that could preserve MSC stemness and functional potency. Excitingly, a new paper from Monroe et al. now highlights the importance of a histone methyltransferase EZH2-centric mechano-epigenetic pathway in this regard and identifies EZH2 inhibition as a promising means to prevent phenotypic alterations in MSCs, thereby maintaining stemness without compromising expansion and increasing the therapeutic relevance of this highly useful stem cell type.

Beswarm and barplots of epigenetic marks and SWI/SNF proteins
Beeswarm plots of epigenetic marker intensity demonstrating that both culture conditions and epigenetic interventions modulate the density of epigenetic puncta within the nuclei; culminating in the availability of SWI/SNF subunit ACTL6A. From Figures 2,4 of Monroe et al.

Paired-Tag technology from Epigenome Technologies generates joint epigenetic and transcriptomic profiles at single-cell resolution and detects histone modifications and RNA transcripts in individual nuclei with efficiency comparable to single-nucleus RNA-seq/ChIP-seq assays. Importantly this assay is not limited to histone state, but can also directly profile chromatin modifiers such as Polycomb-2 via anti-EZH2 or anti-SUZ12 antibodies. Could integrating Paired-Tag datasets have helped delineate how EZH2 inhibition affected single MSCs at the epigenetic and transcriptomic levels, thereby providing greater depth to this exciting study?

EZH2 Inhibition Supports the Long-term Culture of Therapeutically Relevant MSCs

This exciting study combined multiomic analysis, high-resolution imaging, and functional assays to reveal that the expansion of MSCs on mechanically stiff tissue-culture plastic led to the accumulation of the transcriptionally repressive H3K27me3 histone modification, the loss of SWI/SNF-ARID1A chromatin-remodeling foci (with the poised complex known to mark stemness and differentiation-associated genes: Pagliaroli & Trizzino), and an altered chromatin accessibility profile indicative of gene silencing. Overall, this suggested that prolonged MSC passaging on a mechanically stiff substrate induced a repressive chromatin environment, thereby reducing MSC stemness and, consequently, overall therapeutic potential. Interestingly, pharmacological inhibition of EZH2 with GSK343 selectively reduced H3K27me3 levels (as expected), restored ARID1A-containing SWI/SNF organization, and preserved MSC morphology and stemness marker expression, even after extensive passaging. These data confirmed the authors’ initial hypothesis and identified the EZH2-catalyzed addition of H3K27me3 as the factor linking mechanical stress through increased stiffness and phenotypic alterations in MSCs during in vitro passaging. Furthermore, these data suggested that GSK343 treatment could facilitate the large-scale production of therapeutically relevant MSCs.

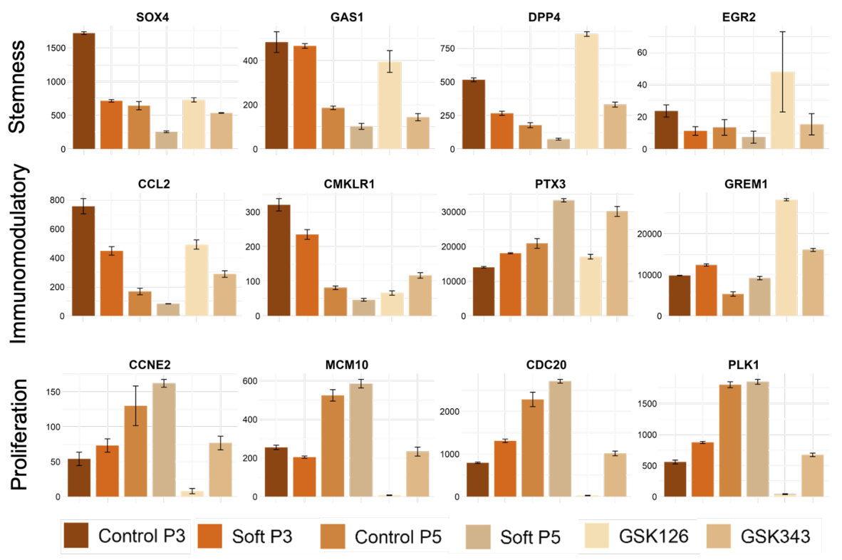
Barplots of major genes in treated and untreated MSCs
MSC cultures, even on soft substrates, lose expression of stem-cell and immunomodulatory genes, and begin to express proliferative genes. Epigenetic interventions (EZH2i) both rescue the stem and immunomodulatory circuits, and oblate the expression of proliferative pathways. From Monroe et al.

The subsequent analysis of chromatin accessibility using ATAC-seq revealed that GSK343 treatment functioned to “rebalance” chromatin accessibility by reopening TEAD/YAP-responsive regulatory regions (mechanically-sensitive factors that drive the transcription of stemness genes; Cheng et al.), while simultaneously repressing chromatin accessibility at regulatory regions for differentiation- and cell senescence-associated genes. Meanwhile, transcriptomic analysis via RNA-seq demonstrated that GSK343 treatment of MSCs maintained transcriptional programs associated with immunomodulation, migration, and trophic signaling in an active state while simultaneously suppressing the hyperproliferative and senescence-associated genes characteristically expressed by late-passage MSCs. Proteomic profiling of the MSC secretome (the soluble mediators that define functional output and support tissue repair; Phelps et al.) provided further evidence that GSK343 attenuated the expression of pro-fibrotic extracellular matrix factors and senescence-linked proteins while enhancing the expression of angiogenic and reparative mediators. Finally, the authors revealed that conditioned media from GSK343-treated MSCs significantly increased the proliferation of primary chondrocytes, demonstrating the preservation of the therapeutic potency of MSCs. This finding agrees with a previous study showing that the MSC secretome can promote chondrocyte proliferation, migration, and overall function (Contentin et al.) and highlights the potential utility of GSK343 in promoting cartilage repair by in vitro cultured MSCs.

EZH2, Epigenetics, and MSCs: The Next Steps

Cartoon depicting the PRC2-SWI/SNF balance in passages MSC cells
The authors' synthesis of the PRC2-vs-SWI/SNF balance that becomes distorted in culture passaging of MSCs, and the mechanism of rescuing stemness genes via retaining SWI/SNF activity at TEAD2-binding targets. From Monroe et al.

This fascinating study established EZH2 as a mechano-epigenetic link between long-term MSC passage on stiff culture substrates and the loss of phenotype/therapeutic potential, and EZH2 inhibition as a potentially exciting means of potentiating MSC-associated therapeutic interventions. The authors do note the need for additional research, including i) in vivo validation and the evaluation of MSCs from multiple donors to assess reproducibility and therapeutic durability; ii) the evaluation of GSK343 treatment combined with engineered mechanical microenvironments for MSC culture; iii) the further dissection of GSK343-mediated increases in chromatin accessibility and dynamic SWI/SNF subunit redistribution during passaging; and iv) evaluating the GSK343-conditioned MSC secretome in models of osteoarthritis, fibrosis, or immune dysregulation.

The implementation of Paired-Tag technology from Epigenome Technologies, which generates joint epigenetic and transcriptomic profiles at single-cell resolution and detects DNA-bound proteins (such as chromatin remodelers or modified histones) and RNA transcripts in individual nuclei with efficiency comparable to single-nucleus RNA-seq/ChIP-seq assays, has the potential to provide deeper insight into such research aims. What more could the simultaneous single-cell analysis of histone modification and transcriptomic profiles tell us about the epigenetic responses of MSCs to distinct culture substrates, the consequences of EZH2 inhibition, and the alterations occurring to MSCs during long-term in vitro culture?